안녕하세요? 한동안 미국 금리 인상으로 국내 부동산이 계속해서 침체기였는데요. 최근 미국이 다시 금리를 큰 폭으로 내려서 부동산 투자를 계획하시는 분들은 언제가 적기일지 관심이 뜨거워지는 시기인 것 같아요. 우리나라에서도 신축 아파트를 선호하고 분양권 투자에 관심 갖는 분들이 많으실텐데요. 그 중 인천 지역은 철도의 교통 호재를 가지고 있는 대규모 개발지역을 중심으로 부동산 시장의 상승 곡선을 그려나가고 있지요. 따라서 집값도 상승하는 분위기를 유지하고 있습니다. 오늘은 그 중 수인분당선 송도역 부근의 삼성 래미안 센트리폴 아파트를 살펴보려고 합니다.

송도역 삼성 래미안 센트리폴 아파트 전망
특히 수인분당선인 송도역은 인천발 KTX와 월판선 개통을 앞두고 있는데요. 인천발 KTX는 부산과 목포를 대략 2시간 30여분만에 이동할 수 있을 전망으로 크게 주목을 받고 있습니다.
수인분당선 송도역은 내년 6월에 인천발 KTX 개통이 예정되어 있는데요. 또한 판교까지도 환승 없이 이동할 수 있는 월곶판교선도 2028년에 개통이 예정되어 있어 수인분당선 송도역 인근 일대가 새롭게 교통 중심지로 떠오르고 있습니다.
송도역 삼성 래미안 센트리폴은 이와 같이 전국에서부터의 교통 접근성을 가지고 있는 위치에 있어서 더욱 그에 따른 가치 증진이 기대되고 있으며, 더불어 삼성물산이 건축하는 아파트이기에 많은 주목을 끌고 있습니다. 삼성물산은 국내 뿐만 아니라 국외에서도 뛰어난 기술력으로 인정받고 있기 때문입니다.

송도역 삼성 래미안 센트리폴은 3개의 블록으로 건축될 계획이며, 이로 인한 대단지의 조성이 예상됩니다. 통합 2549세대가 들어서기 때문에 랜드마크 조성 및 대단지의 강점을 발휘할 수 있을 것 같습니다. 또한 40층까지 올라가는 고층 아파트로 지역 주민들과 투자자의 관심을 끌고 있습니다.
송도역 삼성 래미안 센트리폴 위치

인천광역시 연수구 옥련동 104번지 일대
송도역 삼성 래미안 센트리폴 공급 정보
송도역 삼성 래미안 센트리폴의 공급 타입은 대형부터 중,소형까지 골고루 배치하였습니다. 따라서 다양한 면적으로 인한 다양한 수요층에게 어필할 수 있을 것 같습니다. 59㎡, 68㎡, 71㎡의 평형과 국민평수인 84㎡, 95㎡, 101㎡가 공급됩니다. 가장 많은 공급 평수는 71㎡이며 59㎡,국민 평수인 84㎡의 세대수도 많습니다. 1인 가구와 2인 가구가 늘어나는 시대상을 반영하고 또한 자녀들과 살기 좋은 국민 평수도 함께 제공하는 모습으로 보여집니다.

송도역 삼성 래미안 센트리폴 청약 일정
- 입주자 모집 공고일: 2024년 10월 11일
- 특별공급 청약일: 2024년 10월 21일
- 1순위 청약일: 2024년 10월 22일
- 2순위 청약일: 2024년 10월 23일
송도역 삼성 래미안 센트리폴 당첨자 발표일
- 2024년 10월 29일
- 확인방법: 청약홈 홈페이지 접속
송도역 삼성 래미안 센트리폴 공급 타입 및 세대 수
- 59㎡(59타입): 108세대


- 71㎡(71타입): 378세대


- 84㎡(84타입): 497세대



- 95㎡(95타입): 2세대


- 101㎡(101타입): 39세대

2,549세대 중 1,024세대(3BL)
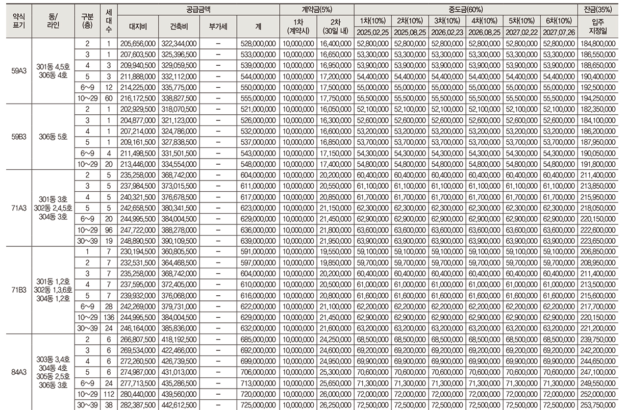
송도역 삼성 래미안 센트리폴 분양가


* 최고가 기준
- 59A: 55,500만원
- 71A: 63,900만원
- 84A: 72,500만원
- 95C: 75,300만원
- 101A: 84,000만원
대표적으로 59A타입은 55,500만원으로 평당 약 2,200만원, 84A타입은 72,500만원으로 평당 약 2,100만원의 공급금액으로 책정되었습니다.
이어서 계약금 5%를 계산해보면,
* 계약금 5%
59A: 27,750만원
84A: 36,250만원
이 되겠습니다.
송도역 삼성 래미안 센트리폴 모델하우스(견본주택)
송도역 삼성 래미안 센트리폴 모델하우스(견본주택) 찾아가는 방법은 다음과 같습니다.
- 차량 이용: 네비게이션으로 '인천시 연수구 옥련동 265-1' 검색
- 대중교통 이용 시,
- 지하철: 수인분당성 '송도역'에서 도보로 5분
- 시내버스: '옥련고개' 정거장 하차
래미안 송도역 센트리폴 홈페이지에서는 온라인 상으로 모델하우스(견본주택)를 구경할 수 있는 e모델하우스를 제공하고 있으니, 여건이 안 되시는 분들께서는 홈페이지로 모델하우스를 구경할 수 있습니다.

* 분양 현장 문의: 032-834-2549
지금까지 송도역 삼성 래미안 센트리폴 아파트 전망, 송도역 삼성 래미안 센트리폴 공급 정보, 송도역 삼성 래미안 센트리폴 청약 일정, 송도역 삼성 래미안 센트리폴 공급 타입 및 세대 수, 송도역 삼성 래미안 센트리폴 분양가 및 송도역 삼성 센트리폴 모델하우스 정보에 대해서 자세히 알아보았습니다.
송도역 삼성 래미안 센트리폴은 초등학교가 도보 거리에 계획되어 있어서 안전한 등하교길을 보장받을 뿐 아니라, 옥련중학교와 옥련여고, 송도고등학교의 중,고등학교를 인근 거리에 두고 있기에 학군의 분위기가 펼쳐질 것으로 예상됩니다. 또한 앞에 언급한대로 교통의 요지가 될 수인분당선 송도역을 가까이 두고 있으며, 영동고속도로 및 제 2 경인 고속도로 등의 핵심 교통망을 또한 품고 있어서 차량을 이용해서도 인천의 핵심 교통망으로 올라설 것으로 보이는데요.
오늘부터 입주자 모집 공고를 해당 홈페이지에서 다운로드 가능하니 자세한 사항 궁금하시면 확인해보시길 바랄게요. 읽어주셔서 감사합니다 :)
'경제' 카테고리의 다른 글
| 2025 군인 봉급표 (1) | 2024.11.01 |
|---|---|
| 잠실 래미안 아이파크 청약 분양가 평면도 (0) | 2024.10.14 |
| 해리스 관련주 전망 (0) | 2024.09.25 |
| 금투세 뜻, 금투세 시행·유예·폐지까지 (0) | 2024.09.20 |
| 국민연금 예상수령액 간단히 알아보기 (0) | 2024.09.19 |